Answer for HW_14_15

1 HW 14

1.1 规则运动

根据角速度和欧拉角的关系直接计算可得

ω=[φ˙sinθsinψ+θ˙cosψφ˙sinθcosψθ˙sinψφ˙cosθ+ψ˙]=[asinθ0sin(ψ0+ct)asinθ0cos(ψ0+ct)acosθ0+c]

1.2 这是一道微改的考试原题

(2016) 五、(15 分) 质量为 m , 半长轴 a 、半短轴为 b 的椭圆形匀质盘绕通过其中心且在盘平面内的固定轴 eAO 作匀速转动, 角速度为 ω0。转轴与㮋圆半长轴的夹角为 α, 转轴质量可以忽略。
(1) 求主转动惯量;
(2) 写出角速度在主轴系中的分量;
本题:(3) 写出匀质盘的转动动能.
原题:(3)' 求该椭圆盘所受到力矩。
zz_figure/Pasted image 20251225115402.png
Drawing 2024-11-14 11.23.13.excalidraw

解:以椭圆盘中心 O 为原点,建立如图所示的主轴坐标系 (右手系), e1 沿短轴方向, e3 沿长轴方向, e2 垂直纸面向里。转动角速度在此主轴系的分量为 ω1=ω0sinα,ω2=0,ω3=ω0cosα. 因为匀速转动, 所以 ω˙1=ω˙2=ω˙3=0

(1) 直接计算给出

I1=ρ(y2+z2)ds=mπabz2dxdz=mπabaaz2dzb1z2/a2b1z2/a2dx=2mπaaaz21z2a2dz

z=acosθ2I1=ma24π02π1cos2θ2dθ=ma24

类似地, I3=mb24, I2=I1+I3=m4(a2+b2).

(2) 转动角速度在此主轴系的分量为

ω1=ω0sinα,ω2=0,ω3=ω0cosα.,ω˙1=ω˙2=ω˙3=0

(3) 在主轴系中,

T=12(I1ω12+I2ω22+I3ω32)

得到

T=18mω02(a2sin2α+b2cos2α)

(3)' 由欧拉动力学方程

{I1ω˙1(I2I3)ω2ω3=N1I2ω˙2(I3I1)ω3ω1=N2I3ω˙3(I1I2)ω1ω2=N3

可得 N1=N3=0,N2=(I1I3)ω3ω1=m(a2b2)4ω02sinαcosα, 圆盘所受到的力矩大小为 m(a2b2)4ω02sinαcosα ,方向为沿 e2.

1.3 匀质圆柱

朗道:
zz_figure/Pasted image 20251225130139.png
接下来,微振动的拉氏量:

L=34μ(Ra)2φ˙2+12μg(Ra)φ2

得到拉格朗日方程

32μ(Ra)2φ¨μg(Ra)φ=0φ¨2g3(Ra)φ=0ω=2g3(Ra)

附鞠国兴解读:
zz_figure/Pasted image 20251225125429.png
zz_figure/Pasted image 20251225125447.png

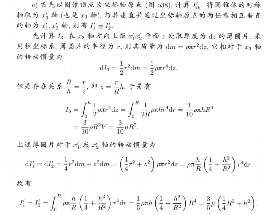
1.4 均质圆锥

朗道:
zz_figure/Pasted image 20251225131333.png
鞠国兴解读:
zz_figure/Pasted image 20251225131359.png
zz_figure/Pasted image 20251225131409.png

1.5 滚动的匀质圆锥

朗道:
zz_figure/Pasted image 20251225131903.png
zz_figure/Pasted image 20251225131915.png

1.6 均质正方体

注意到

I=[ABBBABBBA],其中 A=23Ma2,B=14Ma2

则特征方程

|AλBBBAλBBBAλ|=0(A+2Bλ)|111BAλBBBAλ|=0(A+2Bλ)|0010AλBBBA+λBA+λAλ|=0

显然 λ1=A+2Bλ2,3=AB,即 λ1=16Ma2λ2,3=1112Ma2,三个主轴方向:

v1=13[111],v2=12[110],v3=v1×v2=16[112]

2 HW 15

2.1 欧拉陀螺

(1)

回忆,在推导题目给定的(1)式时,假定了惯性系的 z 轴为守恒角动量 L 的方向,所以,在本体系中

L=RψRθRφ[00L]=[LsinθsinψLsinθcosψLcosθ]=[I1ω0cos(Ωt+α)I1ω0sin(Ωt+α)I3ω30]

这里

ω0=ω2ω302=LsinθI1, Ω=ψ˙=const

所以

L=I3ω30cosθ=I1φ˙

或者

L=I3ω30cosθ=I3cosθI1I1I3ψ˙

(2)

对称欧拉陀螺是规则运动的,已知在本体系中

ωBody=[ω0cos(Ωt+α)ω0sin(Ωt+α)ω30]

记实验系坐标轴 x,y,z,将角速度在 z 轴投影得到

ωz=ωLL=I1ω12+I1ω22+I3ω32L=I1ω02+I3ω302L=L(sin2θ0I1+cos2θ0I3)

或者直接计算

ωLab=[ψ˙sinθsinφ+θ˙cosφψ˙sinθcosφ+θ˙sinφψ˙cosθ+φ˙]=[Lsinθ0cosθ0(1I31I1)sinφ(t)Lsinθ0cosθ0(1I31I1)cosφ(t)L(sin2θ0I1+cos2θ0I3)]

2.2 共面性质

本体系中

ω=[ω0cosαω0sinαω30],ez=[001],L=[I1ω0cosαI1ω0sinαI3ω30],α=α(t)

所以

(ω×ez)L=[ω0sinαω0cosα0][I1ω0cosαI1ω0sinαI3ω30]=0

所以三者共面。

2.3 均质盘旋转

zz_figure/Pasted image 20251225144045.png

2.4 这是一道真题

zz_figure/Pasted image 20251225145044.png
Drawing 2024-11-14 14.15.10.excalidraw

(1)

H=pθ22I1+Veff(θ),Veff(θ)=(pφpψcosθ)22I1sin2θ+pψ22I3+mglcosθ

根据循环坐标得到运动积分

pψ=const,pφ=const.

以及 H 不显含 t:

HE=const

(2)

S=Et+pϕϕ+pψψ+Wθ(θ)12I1{(pϕpψcosθ)2sin2θ+(dWθdθ)2}+pψ22I3+mglcosθ=EdWθdθ=2I1(Epψ22I3mglcosθ)(pϕpψcosθ)2sin2θ S=Et+pϕϕ+pψψ+2I1(Epψ22I3mglcosθ)(pϕpψcosθ)2sin2θdθ

运动积分:

ξ=SE=t+I1dθ2I1(Epψ22I3mglcosθ)(pϕpψcosθ)2sin2θθ(t)Qϕ=Spϕ=ϕ(pϕpψcosθ)/sin2θ2I1(Epψ22I3mglcosθ)(pϕpψcosθ)2sin2θdθϕ(θ)Qψ=Spψ=ψI1pψI3(pϕpψcosθ)cosθsin2θ2I1(Epψ22I3mglcosθ)(pϕpψcosθ)2sin2θdθψ(θ)

另一道类似的:

(2021) 五、(25 分)拉格朗日陀螺为在重力场中的对称刚体 (I1=I2I3) 。它的拉格朗日量为:

L=I12(θ˙2+φ˙2sin2θ)+I32(ψ˙+φ˙cosθ)2mglcosθ

(1)根据 L 的对称性,找出系统的三个守恒量并说明理由;
(2)根据刚体的欧拉动力学方程, 证明广义动量 pφpψ 为运动积分。

(1) 拉格朗日量 L 不显含时间, 因此哈密顿量 H=E 为守恒量。另外, ψ,φ 为循环坐标, 因此正则动量 pψ,pφ 为运动积分, 即:

I12(θ˙2+φ˙2sin2θ)+I32(ψ˙+φ˙cosθ)2mglcosθ=E= const .pψ=Lψ˙=I3(ψ˙+φ˙cosθ)= const .pφ=Lφ˙=(I3cos2θ+I1sin2θ)φ˙+I3ψ˙cosθ= const 

(2) 力矩的方向显然同时垂直于刚体的 z 轴和实验室系的 z 方向, 因此,

N3=0,N3=0

根据欧拉动力学公式有:

I3ω˙3(I1I2)ω1ω2=I3ω˙3=0

pψ=L3=I3ω3=I3(ψ˙+φ˙cosθ)= const .

另外,

ddt(L3)=N3=0

易得:

pφ=L3=(I3cos2θ+I1sin2θ)φ˙+I3ψ˙cosθ= const. 

其中刚体绕实验室系的 z 轴的转动惯量为:

I3=I3cos2θ+I1sin2θ

2.5 这也是一道考试原题

zz_figure/例题_8_1735188880970_edit_2610390595185489.png

也可以由角动量的进动角速度 Ω=ω0=NJsinθ=NI3ω0 得到,

N=ω0I3ω0=12mrω02=Nmg

附 :

角动量进动和外力力矩的关系

对于 z 方向力矩,不需要考虑,它只对角动量的自转起作用。只考虑垂直于 z 方向的力矩 M
zz_figure/Pasted image 20251225153320.png
如图,角动量守恒:

ΔJ=JsinθΔφ=MΔtΩ=ΔφΔt=MJsinθ

可以发现有效力矩指向 x 方向。进动周期:

Tp=2πΩ

2.6 这题作为第三小问考过

注意到

H=pθ22I1+Veff(θ),Veff(θ)=(pφpψcosθ)22I1sin2θ+pψ22I3+mglcosθpθ=I1θ˙

θ=const 时,φ˙=Hpφ=f(θ)=const 自动成立,所以条件只有 pθθ˙=0,此时

E=Veffmin

dVeffdθ=0

必须有解。

一个圆锥密度均匀为 ρ , 总质量 M, 底部的圆半径为 R , 高为 h
(1). 求相对于圆雉顶点的主转动惯量 I1,I2,I3 .
(2). 以圆雉顶点为固定点, 求重力场中, 该重对称陀螺的拉氏量及三个守恒量方程.
(3). 重对称陀螺也能均匀进动 (章动角 θ 和进动角速度 ϕ˙ 保持不变)。以圆锥顶点为固定点, 求该重对称陀螺可以均匀进动的角速度 ϕ˙ , 并给出均匀进动的存在性条件

(1) 选取 z 轴为垂直于底面的对称轴的坐标系, 原点在底面中心。得:

I1=I2=320M(R2+4h2),I3=310MR2

tips : 积分时使用平行轴定理

I1=0h[14dmr2+dmz2]dm=ρπr2dz,r=Rhz,M=13πR2h

(2) 刚体的质心高度 :

l=0hzr2dz0hr2dz=34h

刚体的拉格朗日量为

L=I12(θ˙2+ϕ˙2sin2θ)+I32(ψ˙+ϕ˙cosθ)234mghcosθ

三个守恒量分别为:

E=I12(θ˙2+ϕ˙2sin2θ)+I32(ψ˙+ϕ˙cosθ)2+34mghcosθPϕ=Lϕ˙=(I1sin2θ+I3cos2θ)ϕ˙+I3cosθψ˙= const .Pψ=Lψ˙=I3(ψ˙+ϕ˙cosθ)=I3ω3= const 

(3) 解法一:

根据欧拉-拉格朗日方程, 得到 θ 方向的运动方程为:

I1θ¨=(I1cosθϕ˙2I3ω3ϕ˙+3Mgh/4)sinθ=dVeffdθ

均匀进动时, θ¨=0,θ=θ0, 因此,

I1cosθϕ˙2I3ω3ϕ˙+3Mgh/4=0

这是关于 ϕ˙ 的二次方程,方程有解的条件:

Δ=(I3ω3)23MghI1cosθ00

即:

ω33MghI1cosθ0I3

解法二 :

根据上面三个守恒量, 得到 θ 方向的运动满足:

I12θ˙2=EVeff(θ)E=EPψ22I3Veff(θ)=(PϕPψcosθ)22I1sin2θ+34mghcosθ

均匀进动的条件为 Veff(θ) 取极小值, 即:

E=Veff(θ0)dVeff(θ)dθ|θ=θ0=0

令:

α=2EI1,β=3mgh2I1,a=PψI1,b=PϕI1,u=cosθu˙2=(1u2)(αβu)(bau)2f(u)

另有:

ϕ˙=(bau)1u2

f(u0)=0 , 得到:

αβu0=(bau0)2(1u02)

f(u0)=0 , 得到:

β2=a(bau0)(1u02)u0(αβu0)(1u02)

利用:

ϕ˙0=(bau0)1u02

得到:

β2=aϕ˙0u0ϕ˙02

这是关于 ϕ˙0 的二次方程,方程有解的条件是:

Δ=a22βu00

即:

ω33Mghcosθ0I1I3