Answer for HW2

1

zz_figure/5d462ccb8e30f1fb6629cbdba906a0a4.jpg

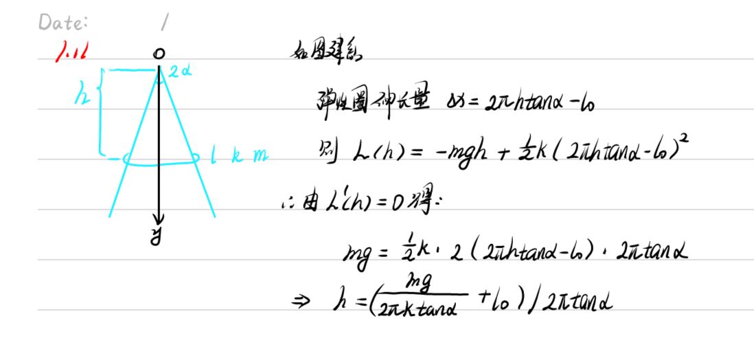
以圆锥顶点为原点,竖直向下为 z 轴正方向,所以弹性圈的半径为 r=ztanα,弹性圈上的质点坐标是:

ri=ze^z+ztanαe^r

δe^r=θδe^θ,于是虚位移满足:

δri=δzez^+δztanαer^+ztanαδθeθ^

拉伸后弹性圈的长度变为 2πztanα,得到弹性圈上的一小段圆心角 dθ 的圆弧受到的弹力是:

Ti=2Tsindθ2Tdθ=k(2πztanαl)dθ

得到其受到的主动力(重力+弹性力)是:

Fi=dθ2πmgez^dθk(2πztanαl)er^

根据虚功原理:

0=iFiδri=dθδz(mg2πtanαk(2πztanαl))z=mg+2πkltanαk(2πtanα)2
Info

两种方法都只适用于系统处于平衡的情况,在非平衡时,虚功原理进化为达朗贝尔原理,最小势能原理进化为拉格朗日方程。

2

以沿斜面向下为 x 正方向,圆柱转过的角度为 θ,转动惯量为 I=12mR2,约束条件 x˙=Rθ˙,柱心的虚位移是 δx,圆柱上某个质点的位置分解为质心位置+到质心的位移 ri=xe^x+ri

Fi=migri˙=x˙e^x+riθ˙e^θri¨=x¨e^x+riθ¨e^θriθ˙2e^ri=Rθ¨ex+riθ¨e^θriθ˙2δri=δxe^x+riδθe^θ

根据达朗贝尔原理(主动力和惯性力的虚功和为 0):

0=i(Fimiri¨)δri=Mgsinαδximi(x¨e^x+ri¨)δ(xe^x+ri)=MgsinαδxMx¨δx00imiri¨δri

其中最后一项:

imiri¨δri=imi(riθ¨e^θriθ˙2)riδθe^θ=imiri2θ¨δθ=Iθ¨δθ

得到:

MgsinαδxMx¨δxIθ¨δθ=0

根据约束 δx=Rδθx¨=Rθ¨ 得到:

δx(MgsinαMx¨Ix¨R2)=0x¨=MgsinαM+12M=23gsinα

这是质心的运动方程,圆柱上质点只需要多加一个向心加速度。

3

zz_figure/Pasted image 20250918200705.png

当系统处于稳定状态时,在圆盘的旋转参考系中,

x=lcosθ,  y=lsinθx˙=lθ˙sinθ,  y˙=lθ˙cosθx¨=l(θ¨sinθ+θ˙2cosθ),  y¨=l(θ¨cosθθ˙2sinθ)δx=lsinθδθ,  δy=lcosθδθF=mω2(R+l)

于是:

0=(Fmr¨)δr=(Fxmx¨)δx+(Fymy¨)δy=m[ω2R+lcosθ+l(θ¨sinθ+θ˙2cosθ)]lsinθδθ+m[lsinθl(θ¨cosθθ˙2sinθ)]lcosθδθ

化简得到:

0=lθ¨+ω2Rsinθ

等价于在 g=ω2R 引力场中的运动。